--------------------------------------------------------------------------------

14.1

বীজগণিতীয় ৰাশিৰ উৎপাদক বিশ্লেষণ



1.তলৰ ৰাশিবোৰৰ উৎপাদক বিশ্লেষণ কৰা

Solutions:

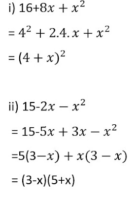
i) 




 2. উৎপাদকত প্ৰকাশ কৰা

Solutions:





3. উৎপাদকত প্ৰকাশ কৰা

Solutions:









4. উৎপাদকত প্ৰকাশ কৰা

Solutions:










5. তলৰ ৰাশিবোৰৰ উৎপাদক বিশ্লেষণ কৰা

Solutions:






6. খালী ঠাই পূৰোৱা( নিৰীক্ষণ কৰি)

Solutions:


Author-DIKHA BORA