Class 9 Maths
Lesson : 2.5
1. তলৰ পূৰণফলকেইটা নিৰ্ণয় কৰিবলৈ উপযুক্ত অভেদ ব্যৱহাৰ কৰা।
i) (x+4) (x+10)
ii) (x+8) (x-10)
iii) (3x+4) (3x-5)

v) (3-2x) (3+2x)
2.প্ৰত্যক্ষভাৱে পূৰণ নকৰি তলৰ পূৰণফলসমূহ নিৰ্ণয় কৰাঃ
i) 103x107
ii) 95x96
iii) 104x96
3. উপযুক্ত অভেদ ব্যৱহাৰ কৰি উৎপাদক বিশ্লেষণ কৰাঃ
4. উপযুক্ত অভেদ ব্যৱহাৰ কৰি তলৰ ৰাশিবোৰ বিস্তাৰ কৰাঃ
Solution:
Solution:
Solution:
Solution:
Solution:
Solution:
5. উৎপাদক বিশ্লেষণ কৰাঃ
Solution:
Solution:
6. তলৰ ঘনকেইটা বিস্তাৰিত কৰি লিখাঃ
Solution:
7. উপযুক্ত অভেদ ব্যৱহাৰ কৰি তলৰ ৰাশিৰ মান নিৰ্ণয় কৰাঃ
Solutions:
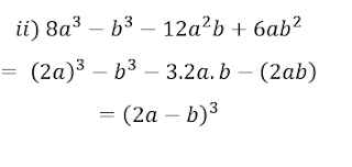
8. তলৰ প্ৰতিটোৰ উৎপাদক বিশ্লেষণ কৰাঃ
Solutions:
9. সত্যাপন কৰাঃ
Solution
10. উৎপাদক বিশ্লেষণ কৰাঃ
14. ঘনফল প্ৰকৃতাৰ্থত নিৰ্ণয় নকৰাকৈ তলৰ প্ৰতিটোৰ মান নিৰ্ণয় কৰাঃ
15. তলত কালি দিয়া আয়তবিলাকৰ দীঘ আৰু প্ৰস্থৰ বাবে সম্ভাব্য ৰাশিকেইটা কি কি হ'ব?
16. তলৰ আয়তন দিয়া ঘনকৰ মাত্ৰা তিনিটাৰ বাবে সম্ভাৱ্য ৰাশিকেইটা কি কি হ'ব?
Dikha Bora