পাঠ ২
জটিল সংখ্যা
Complex Number
Exercise 2.5
1. উৎপাদক বিশ্লেষণ পদ্ধতিৰে তলৰ সমীকৰণবোৰ সমাধা কৰা 一
2. তলৰ সমীকৰণবিলাকৰ মূলৰ প্ৰকৃতি আলোচনা কৰা আৰু সমাধান উলিওৱা 一
3. যদি ax2 + 2bx + c = 0 সমীকৰণৰ মূল দুটা কাল্পনিক, তেন্তে প্ৰমাণ কৰা যে ay2 + 2(a + b)y + (a + 2b + c) = 0 সমীকৰণৰ মূল দুটাও কাল্পনিক (ইয়াতa, b, c বাস্তৱ সংখ্যা )
4. বাস্তৱ সহগ বিশিষ্ট দ্বিঘাত সমীকৰণ নিৰ্ণয় যদিহে ইয়াৰ এটা মূল 一
(i) 2 + 5i
উত্তৰঃ
∵ সমীকৰণটোৰ মূল এটা জটিল সংখ্যা, গতিকে তাৰ আনটো মূল সংযুগ্ম হ'ব। গতিকে মূল দুটা হ'ব (2 + 5i) আৰু (2 - 5i)
এতিয়া,
মূল দুটাৰ যোগফল
= 2 + 5i + 2 - 5i
= 4
আৰু মূল দুটাৰ পূৰণফল
= (2 + 5i)(2 - 5i)
= 4 - 10i + 10i + 25
= 29
∴ দ্বিঘাত সমীকৰণটো হৈছে
x2
+ 4x + 29 = 0
(ii) 4i - 3
উত্তৰঃ
∵ সমীকৰণটোৰ মূল এটা জটিল সংখ্যা, গতিকে তাৰ আনটো মূল সংযুগ্ম হ'ব। গতিকে মূল দুটা হ'ব (4i - 3) আৰু (-4i - 3)
এতিয়া,
মূল দুটাৰ যোগফল
= 4i - 3 + (- 4i - 3)
= 4i - 3 - 4i - 3
= - 6
আৰু মূল দুটাৰ পূৰণফল
= (4i - 3)(- 4i - 3)
= -16 -12i + 12i + 9
= -7
∴ দ্বিঘাত সমীকৰণটো হৈছে 一
x2 - 6x - 7 = 0
(iii)
(iv) - c - id
উত্তৰঃ
∵ সমীকৰণটোৰ মূল এটা জটিল সংখ্যা, গতিকে তাৰ আনটো মূল সংযুগ্ম হ'ব। গতিকে মূল দুটা হ'ব (- c - id) আৰু (- c + id)
এতিয়া,
মূল দুটাৰ যোগফল
= - c - id + (- c + id)
= - c - id - c + id
= - 2c
আৰু মূল দুটাৰ পূৰণফল
= (- c - id)( - c + id)
= c2 + d2
∴ সমীকৰণটো হৈছে 一
= x2 + 2cx + (c2 + d2) = 0
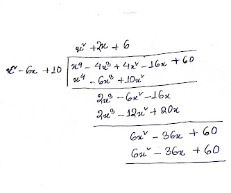
5. যদি x = 3 + i, তেন্তে x4 - 4x3 + 4x2 - 16x + 60 = 0 ৰাশিটোৰ মান উলিওৱা।
উত্তৰঃ
∵ x = 3 + i
⇒ x - 3 = i
⇒ (x - 3)2 = i2
⇒ x2 - 6x + 9 = -1
⇒ x2 -6x + 9 + 1 = 0
⇒ x2 - 6x + 10 = 0
এতিয়া,
প্ৰদত্ত ৰাশি
x4 - 4x3 + 4x2 - 16x + 60
= ( x2 - 4x +10)( x2 + 2x + 6)
= 0 x (x2 + 2x + 6)
= 0
6. যদি x = (1/√2)(1 + i) তেন্তে দেখুওৱা যে x6 + x4 + x2 + 1 = 0
উত্তৰঃ
x = (1/√2)(1 + i)
⇒ √2x = 1 + i
⇒ 2x2 = 1 - 1 +2i
⇒ 2x2 = 2i
⇒ x2 = i
এতিয়া,
L.H.S;
x6 + x4 + x2 + 1
= (x2)3 + (x2)2 + x2 + 1
= i3 + i2 + i + 1
= - i - 1 + i + 1
= 0
= R.H.S
দেখুওৱা হ'ল।
9. তলত দিয়া বিলাকৰ মান (a + ib) আৰ্হিত উলিওৱা।
10. তলত দিয়া প্ৰতিটো সংখ্যাৰে বৰ্গমূল নিৰ্ণয় কৰা 一
11. সৰল কৰা 一
12. দেখুওৱা যে,
Post ID: DABP001654
