পাঠ ৪
দ্বিঘাত সমীকৰণ
অনুশীলনী 4.1
1. তলত দিয়া মূলবোৰৰে একোটাকৈ দ্বিঘাত সমীকৰণ গঠন কৰাঃ
(i) -5, 7
উত্তৰঃ মূল দুটা বিশিষ্ট দ্বিঘাত সমীকৰণটো হ'ব
x2 - (মূল দুটাৰ যোগফল)x + মূল দুটাৰ গুণফল = 0
⇒ x2 - ( -5 + 7)x + (-5)x7 = 0
⇒ x2 - 2x - 35 = 0
(ii) -1/2, -3
উত্তৰঃ
x2 - (মূল দুটাৰ যোগফল)x + মূল দুটাৰ গুণফল = 0
⇒ x2 - (-1/2 - 3)x + (-1/2)x(-3) = 0
⇒ x2 + 7/2x + -3/2 = 0
(iii) 1, -3/2
উত্তৰঃ x2 - (মূল দুটাৰ যোগফল)x + মূল দুটাৰ গুণফল = 0
⇒ x2 - (1 - 3/2)x + (-3/2) = 0
⇒ x2 - (-1/2)x -3/2 = 0
⇒ x2 + 1/2x -3/2 = 0
(iv) (1, - 4/5)
উত্তৰঃ x2 - (মূল দুটাৰ যোগফল)x + মূল দুটাৰ গুণফল = 0
⇒ x2 - (1 - 4/5)x + (-4/5) = 0
⇒ x2 - (1/5)x - 4/5 = 0
⇒ x2 - 1/5x - 4/5 = 0
(v) 1/2, -1/3
উত্তৰঃ x2 - (মূল দুটাৰ যোগফল)x + মূল দুটাৰ গুণফল = 0
⇒ x2 - (1/2 - 1/3)x + (-1/6) = 0
⇒ x2 - (1/6)x - 1/6 = 0
⇒ x2 - 1/6x - 1/6 = 0
(vi) 5i, -5i
উত্তৰঃ x2 - (মূল দুটাৰ যোগফল)x + মূল দুটাৰ গুণফল = 0
⇒ x2 - (5i - 5i)x + {5i x (-5i)} = 0
⇒ x2 - 0.x - 25 = 0
⇒ x2 - 25 = 0
2. দ্বিঘাত সমীকৰণটো গঠন কৰা যাৰ এটা মূল
(i) √3i
উত্তৰঃ ∵ এটা মূল √3i
∴ আনটো মূল = - √3i
∴ সমীকৰণটো হৈছে 一
x2 - (মূল দুটাৰ যোগফল)x + মূল দুটাৰ গুণফল = 0
⇒ x2 - (√3i - √3i )x + {√3i x (- √3i )} = 0
⇒ x2 - 0.x - 9 = 0
⇒ x2 + 9 = 0
(ii) 4 + √5
উত্তৰঃ ∵ এটা মূল 4 + √5
∴ আনটো মূল = 4 - √5
∴ সমীকৰণটো হৈছে 一
x2 - (মূল দুটাৰ যোগফল)x + মূল দুটাৰ গুণফল = 0
⇒ x2 - ( 4 + √5 + 4 - √5)x + {(4 + √5)(4 - √5)} = 0
⇒ x2 - 8x + (16 - 5) = 0
⇒ x2 - 8x + 11 = 0
(iv) 1- (√3/2)i
উত্তৰঃ ∵ এটা মূল 1 - (√3/2)i
∴ আনটো মূল = 1 + (√3/2)i
∴ সমীকৰণটো হৈছে 一
x2 - (মূল দুটাৰ যোগফল)x + মূল দুটাৰ গুণফল = 0
⇒ x2 - {1- (√3/2)i + 1 + (√3/2)i }x + {1- (√3/2)i}{1- (√3/2)i} = 0
⇒ x2 - 2x + 1 - 3/4 = 0
⇒ x2 - 2x - 1/4 = 0
3. এটা দ্বিঘাত সমীকৰণ নিৰ্ণয় কৰা যাৰ মূলবোৰ 一
(i) x2 - 16x + 63 = 0 ৰ মূলবোৰতকৈ 2 সৰু।
উত্তৰঃ
ধৰা হ'ল, x2 - 16x + 63 = 0 ৰ মূলবোৰ α আৰু ß
∴ α + ß = 16
আৰু αß = 63
∴ নিৰ্ণেয় সমীকৰণটোৰ মূলদুটা α - 2 আৰু ß - 2
এতিয়া মূল দুটাৰ যোগফল
= (α - 2)+ (ß -2)
= α + ß - 4
= 16 - 4
= 12
আৰু মূল দুটাৰ গুণফল
= (α - 2)(ß - 2)
= αß - 2α - 2ß + 4
= 63 - 2(α + ß) + 4
= 67 - 2x16
= 67 - 32
= 35
∴ নিৰ্ণেয় সমীকৰণটো হৈছে
⇒ x2 - 12x + 35 = 0
(ii) x2 + 13x + 5 = 0 ৰ মূলবোৰতকৈ 4 সৰু।
উত্তৰঃ ধৰা হ'ল, সমীকৰণটোৰ মূল দুটা α আৰু ß
∴ α + ß = -13
আৰু αß = 5
নিৰ্ণেয় সমীকৰণটোৰ মূল দুটা হৈছে α + 4 আৰু ß + 4
এতিয়া মূল দুটাৰ যোগফল
α + 4 + ß + 4
= α+ ß + 8
= -13 + 8
= - 5
আৰু মূল দুটাৰ গুণফল হৈছে
(α + 4)(ß + 4)
= αß + 4α + 4ß + 16
= 5 + 4(α + ß) + 16
= 21 + 4 x (-13)
= 21 - 52
= - 31
∴ নিৰ্ণেয় সমীকৰণটো হৈছে
⇒ x2 + 5x - 31 = 0
(iii) 2x2 - 7x + 6 = 0 ৰ মূলবোৰৰ প্ৰতিক্ৰম
উত্তৰঃ ধৰা হ'ল সমীকৰণটোৰ মূল দুটা α আৰু ß
∴ α + ß = 7
আৰু αß = 6
নিৰ্ণেয় সমীকৰণটোৰ মূল দুটা 1/α আৰু 1/ß
এতিয়া মূল দুটাৰ যোগফল
1/α + 1/ß
4. k ৰ মান উলিওৱা যাতে
(i) 2x2 - 5x + k = 0 ৰ েটা মূল আনটোৰ দুগুণ হয়।
(ii) (2k - 5)x2 - 4x - 15 = 0 আৰু (3k - 8)x2 - 5x - 21 = 0 ৰ এটা উমৈহতীয়া মূল থাকে।
উত্তৰঃ ধৰা হ'ল উমৈহতীয়া মূলটো α
∴ (2k - 5)α2 - 4α - 15 = 0
আৰু (3k - 8)α2 - 5α - 21 = 0
এতিয়া বজ্ৰগুণন পদ্ধতিৰে আমি পাওঁ,
5. কি চৰ্ত সাপেক্ষে
(i) 3x2 + 4mx + 2 = 0 আৰু 2x2 +3x - 2 = 0 এটা উমৈহতীয়া মূল থাকিব?
উত্তৰঃ ধৰা হ'ল উমৈহতীয়া মূলটো α
∴ 3α2 + 4mα + 2 = 0
আৰু 2α2 + 3α - 2 = 0
এতিয়া বজ্ৰগুণন পদ্ধতিৰে আমি পাওঁ
(ii) ax2 + bx + c = 0 ৰ এটা মূল আনটোৰ n গুণ হ'ব?
উত্তৰঃ
ধৰো, এটা মূল α
∴ আনটো মূল nα
এতিয়া আমি পাওঁ
α + nα = -b/a
⇒ α(1 + n) = -b/a
⇒ α = -b / a(1 + n)
আৰু nα2 = c/a
⇒ n{-b/a(1 + n)}2 = c/a
⇒ nb2/a2 (1 + n)2 = c/a
⇒ n/(1 + n)2 = ac/b2
⇒ (1 + n)2/n = b2/ac
(iii) x2 - px + q = 0 ৰ এটা মূল আনটোৰ দুগুণ হ'ব?
উত্তৰঃ
ধৰো, এটা মূল α
∴ আনটো মূল 2α
এতিয়া আমি পাওঁ
α + 2α = p
⇒ 3α = p
⇒ α = p/3 ............(i)
আৰু α2α = q
⇒ 2α2 = q
⇒ 2(p/3)2
⇒ p2/9 = q/2
⇒ 2p2 = 9q
(iv) ax2 + bx + c = 0 ৰ মূল দুটা m : n অনুপাতত থাকিব?
উত্তৰঃ
ধৰো মূল দুটা mα আৰু nα
∴ mα + nα = -b/a
⇒ α(m + n) = -b/a
⇒ α = b/a(m + n) ............(i)
আৰু mα x nα = c/a
⇒ mnα2 = c/a
⇒ mn{-b/a(m + n)}2 = c/a
⇒ mnb2/a(m + n)2 = c
⇒ mnb2 = ac(m + n)2
(v) ax2 + bx + c = 0 আৰু px2 + qx + r = 0 ৰ এটা উমৈহতীয়া মূল থাকিব?
উত্তৰঃ
ধৰো, মূলটো α
এতিয়া বজ্ৰগুণন পদ্ধতিৰে আমি পাওঁ,
(vi) ax2 + bx + c = 0 ৰ এটা মূল আনটোৰ চাৰিগুণ?
উত্তৰঃ ধৰো, এটা মূল α
∴ আনটো মূল 4α
∴α + 4α = -b/a
⇒ 5α = -b/a
⇒ α = -b / 5a
আৰু 4α2 = c/a
⇒ 4(-b/5a)2 = c/a
⇒ 4b2/25a = c
⇒ 4b2 = 25ac
(vii) x2 - mx + n = 0 ৰ মূল দুটাৰ যোগফল সিহঁতৰ অন্তৰৰ k গুণ?
উত্তৰঃ ধৰো, মূল দুটা α আৰু ß
α + ß = m
আৰু αß = n
এতিয়া,
(α - ß)2 = (α + ß)2 - 4αß
⇒ (α - ß)2 = m2 - 4n
⇒ α - ß = √m2 - 4n
প্ৰশ্নমতে,
α + ß = k(α - ß)
⇒ m = k(√m2 - 4n)
⇒ m2 = k2(m2 - 4n)
⇒ m2 = m2k2 - 4k2n
⇒ m2 - m2k2 = -4k2n
⇒ m2k2 - m2 = 4k2n
⇒ m2 (k2 -1) = 4k2n
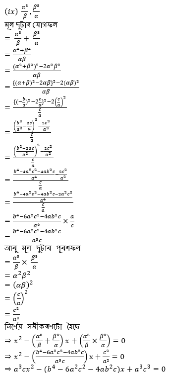
6. ax2 + bx + c = 0 সমীকৰণটোৰ মূল α আৰু ß তেন্তে তলৰ প্ৰতিসম ফলনবোৰৰ মান a, b, c সহগত প্ৰকাশ কৰাঃ
7. ax2 + bx + c = 0 সমীকৰণটোৰ মূল α আৰু ß তেন্তে তলৰ মূল থকা একোটা সমীকৰণ নিৰ্ণয় কৰা।
8. যদি a2 = 5a - 3 আৰু b2 = 5b - 3 (a ≠ b), তেন্তে এটা দ্বিঘাত সমীকৰণ উলিওৱা যাৰ মূল দুটা a/b আৰু b/a।
উত্তৰঃ
9. যদি 3x2 + 6x + 2 = 0 ৰ মূল দুটা p আৰু Q তেন্তে -p2/q, q2/p মূলবিশিষ্ট দ্বিঘাত সমীকৰণটো নিৰ্ণয় কৰা।
উত্তৰঃ
10. x2 + ax + 8 = 0 ৰ এটা মূল 4 আৰু x2 + ax + b = 0 ৰ মূল দুটা সমান হ'লে b ৰ মান উলিওৱা।
উত্তৰঃ
দিয়া আছে;
x2 + ax + 8 = 0 ৰ এটা মূল 4
ধৰা হ'ল আনটো মূল α
∴ 4 + α = - a ............(i)
আৰু 4α = 8
⇒ α = 2
∴ (i) ⇒ 2 + 4 = -a
⇒ a = - 6
∴ x2 + ax + b = 0 সমীকৰণটো হ'ব x2 - 6x + b = 0..........(ii)
∵ (ii) ৰ মূল দুটা সমান
∴ a2 - 4b = 0
⇒ (-6)2 - 4b = 0
⇒ 36 = 4b
⇒ b = 9
11. 4x2 + 2x - 1 = 0, ৰ এটা মূল α হ'লে দেখুওৱা যে আনটো মূল 4α2 - 3α ।
উত্তৰঃ
12. x2 + px + q = 0 ৰ মূল দুটাৰ অন্তৰ 1 হ'লে দেখুওৱাা যে p2 + 4q2 = (1 + 2q)2.
উত্তৰঃ
13. যদি ax2 + bx + c = 0 আৰু bx2 +cx + a = 0 ৰ এটা উমৈহতীয়া মূল থাকে, প্ৰমাণ কৰা যে a + b + c = মূল নাইবা a = b = c.
উত্তৰঃ
15. সমাধা কৰাঃ
(i) x4 - 13x2 +36 = 0
⇒ x4 - 4x2 -9x2 + 36 = 0
⇒ x2 (x2 - 4) - 9(x2 - 4) = 0
⇒ (x2 - 4)(x2 - 9) =0
∴ x2 - 4 =0 বা x2 - 9 = 0
⇒ x2 = 4 ⇒x2 = 9
⇒ x = 2 ⇒ x = 3
(ii) x4 - 3x2 + 2 = 0
⇒ x4 - x2 - 2x2 + 2 = 0
⇒ x2 (x2 - 1) - 2(x2 - 1) = 0
⇒ (x2 - 1)(x2 - 2) = 0
∴ x2 - 1 =0 বা x2 - 2 = 0
⇒ x2 = 1 ⇒ x2 = 2
⇒ x = 1 ⇒ x = √2
(iii) (x2 - 3x)2 - 5(x2 - 3x) + 6 = 0
⇒ (x2 - 3x)2 - 2(x2 - 3x) - 3(x2 - 3x) + 6 = 0
⇒ (x2 - 3x)(x2 - 3x - 2) - 3(x2 - 3x + 2) = 0
⇒ (x2 - 3x + 2)(x2 - 3x - 2) = 0
⇒ x2 - 3x + 2 = 0 বা x2 - 3x - 2 = 0.......(i)
⇒ x2 - x - 2x + 2 = 0
⇒ x(x - 1) - 2(x - 1) = 0
⇒ (x - 1)(x - 2) = 0
⇒ x - 1 = 0 বা x - 2 =0
⇒ x = 1 বা ⇒ x = 2
আকৌ,
(i) ৰ পৰা x2 - 3x - 2 = 0
(iv) (x2 + 2x - 3)2 - 3(x2 + 2x - 1) + 8 = 0
ধৰো, x2 + 2x - 1 = y
∴ (x2 + 2x - 3)2 - 3(x2 + 2x - 1) + 8 = 0
⇒ (x2 + 2x - 1 - 2)2 - 3(x2 + 2x - 1) + 8 = 0
⇒ (y - 2)2 - 3y + 8 = 0
⇒ y2 + 4 - 4y - 3y + 8 = 0
⇒ y2 - 7y + 12 = 0
⇒ y2 - 3y - 4y + 12 =0
⇒ y(y - 3) - 4(y - 3) = 0
⇒ (y - 3)(y - 4) = 0
∴ y - 3 = 0 বা y - 4 = 0
⇒ y = 3...........(i)
বা y = 4...........(ii)
(i) ⇒ x2 + 2x - 1 = 3
⇒ x2 + 2x -4 =0
Post ID : DABP005043











































